مقالات

واردات کالاهای تخصصی آزمایشگاهی

واردات کالاها و محصولات تخصصی آزمایشگاهی مرک و سیگما

واردات و فروش کلیه کالاهای تخصصی مواد شیمیایی  از کمپانی های  مرک آلمان، سیگما و آلدریچ، اکروس ،فلوکا ،آلفاایسر و... درکوتاهترین زمان ممکن ویژه مراکز تحقیقاتی و دانشگاهی میسر می باشد.

شرکت مینا تجهیز آریا  با بیش از دو دهه تجربه در واردات و توزیع مواد شیمیایی آزمایشگاهی و صنعتی، این شرکت نماینده رسمی برندهایی مانند مرک آلمان، سیگما آلدریچ، اکروس و آلفا ایسر است.

مینا تجهیز آریا با حذف واسطه‌ها، محصولات را به‌صورت مستقیم از شرکت مرک وارد می‌کند که این امر علاوه بر تضمین کیفیت، باعث کاهش هزینه‌ها نیز می‌شود. 

لذا خواهشمند است جهت یافتن کد کالاهای مورد نظر از طریق لینک های قرارداده شده در قسمت کمپانی های همین سایت ،اقدام فرمایید.

بدیهی است همکاران ما در بخش فروش در کوتاهترین زمان ممکن اقدام به صدور پیش فاکتور و ثبت سفارش نهایی شما عزیزان  خواهند نمود.

 

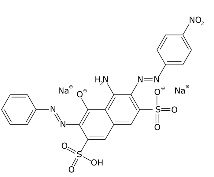
امید و بلک ۱۰بی

امید و بلک ۱۰بی

امیدو بلک ۱۰بی یک ترکیب شیمیایی با نام انگلیسی Amido black 10B با فرمول مولکولی C₂₂H₁₄N₆Na₂O₉S₂ و جرم مولی ۶۱۶٫۴۹ گرم بر مول است. 

 این ماده به صورت پودر قرمز تیره تا سیاه رنگ مشاهده می‌شود و در دمای ۲۰ درجه سانتی‌گراد، حلالیت آن در آب حدود ۳۰ گرم در لیتر است.

 

خصوصیات

نام‌گذاری آیوپاک

دیگر نام‌ها

فرمول مولکولی

C22H14N6Na2O9S2

4-Amino-5-hydroxy-3-[(4-nitrophenyl)azo]-6- -(phenylazo)-2,7-Naphthalene disulfonic acid, disodium salt

<>

جرم مولی

616.49 g mol−1

شکل ظاهری

Dark red to black

انحلال‌پذیری در آب

~ 30 g/l at 20 °C

 

 

کاربرد آمیدو بلک در ارزیابی کیفیت ترکیبات شیر:

روش‌های آزمایشگاهی مرجع مورد استفاده در شیر، عموماً وقت گیر، پرزحمت و گران قیمت می‌باشند که به همین دلایل در بعضی مواقع چندان مناسب نیستند. با توجه به نیاز به روش‌های کم هزینه که در زمان کوتاه‌تری نتایج آن مشخص می‌شود، دستگاه‌ها و روش‌های خودکار آزمایش ابزاری به سرعت در دهه 1960 به تولید رسیدند. 

سیر تکاملی ابزارها و وسایل آزمایشگاهی مذکور و دستیابی صنایع شیر به وسایل مدرن و متنوع امروزی بسیار قابل توجه می‌باشد. به طوری‌که امروزه طیف وسیعی از وسایل و تجهیزات آزمایشگاهی نیازهای اختصاصی صنعت شیر را بر طرف کرده و از آماده‌سازی نمونه در آزمایش‌های کوچک تا وسایل تمام خودکار در آزمون‌های انبوه را در اختیار این صنعت قرار داده است.

به منظور برآورده ساختن نیازهای موجود در آزمایشگاه‌های صنایع شیر، آزمایش سریع نمونه‌های بسیار زیاد و کنترل فرایند خط تولید، دستگاه‌های ساده کدورت سنج Milko - Tester طراحی و تکمیل گردید.
اهمیت پروتئین شیر نیز موجب توسعه و ابداع گروه دیگری از وسایل به موازات وسایل مربوط به اندازه‌گیری چربی شد که اساس آن‌ها به روش اتصال رنگ استوار بود.

رنگ‌های گوگردی (Sulphonated) به طور کمی در pH پائین با پروتئین واکنش داده و کمپلکس‌های غیر محلول رنگ - پروتئین ایجاد می‌کنند.
اساس این روش بر این استوار است که محلول استاندارد شده‌ای از رنگ آمیدوبلک، (Black -Amido)، بافری در 2/4 pH = مقدار مشخصی شیر اضافه می‌شود.

کمپلکس رنگ - پروتئین حاصل توسط فیلتراسیون یا سانتریفوژ جدا شده و شدت رنگ محلول حاصل اندازه‌گیری می‌شود.

شدت رنگ به روش اندازه‌گیری جذب نوری در طول موج 550-620 mmانجام می‌گردد، مقدار جذب به طور معکوس با مقدار پروتئین نمونه شیر ارتباط دارد.

 نکات ایمنی:

هنگام کار با آمیدو بلک ۱۰بی، استفاده از تجهیزات حفاظت فردی مانند دستکش و عینک ایمنی توصیه می‌شود. در صورت تماس با پوست یا چشم، محل را با آب فراوان شست‌وشو دهید و در صورت بروز علائم، به پزشک مراجعه کنید.

 

فروش امیدو بلک ۱۰بی مرک قابل ارسال به تمامی نقاط کشور توسط شرکت مینا تجهیز آریا

آمیدوبلک 25 گرمی کد 101167 مرک آلمان

جهت استعلام قیمت مواد شیمیایی مرک با شماره زیر در تماس باشید

02166900058

 

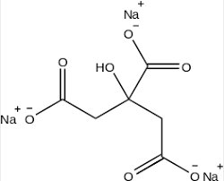
خواص تری سدیم سیترات و کاربردهای آن

خواص تری سدیم سیترات و کاربردهای آن

تری‌سدیم سیترات چیست ؟

تری‌سدیم سیترات به انگلیسی Trisodium citrate با دیگر نام هایی چون سیترات سدیم ، تری سدیم سیترات و .. یک ترکیب شیمیایی است .

تری‌سدیم سیترات به صورت یک نمک از اسید سیتریک و سدیم تشکیل شده است و وظیفه‌های متعددی را انجام می‌دهد.

خصوصیات  تری سدیم سیترات

فرمول مولکولی : Na3C6H5O7

جرم مولی :          258.06 g/mol (water free) 294.10 g/mol (dihydrate)

نام های دیگر : سیترات سدیم ، تری سدیم سیترات ، Trisodium citrate ، citrosodine ، citric acid trisodium salt ، sodium citrate ، نمک سدیم اسید سیتریک ، سدیم سیترات دی هیدرات ، اسید دی هیدرات ، هیدروکسی پروپان.

پروپانول یا استون

استون چیست ؟

استون ، اولین و مهمترین عضو گروهی است که کتون نام دارند. این ماده مایعی سمی ، روان ، بی‌رنگ با بویی نسبتا خوب شبیه بوی میوه است. بدلیل قطبیت بالا ، حلال خوبی برای اکثر ترکیبات آلی بشمار می‌رود. استون ، بخوبی در آب ، اتانول و اتر حل می‌شود.

استون معمولا بعنوان حلال و پاک‌کننده لاک ناخن استفاده می‌شود. استون به اندازه کم در خون و ادرار یافت می‌شود، اما مقدار آن در موقع گرسنگی و همچنین در بیماری دیابت با کمبود شدید اکسیژن در خون و ادرار افزایش می‌یابد.

تفاوت مواد شیمیایی آزمایشگاهی با سایر مواد شیمیایی

تفاوت مواد شیمیایی آزمایشگاهی با سایر مواد شیمیایی

مواد شیمیایی در آزمایشگاه به عنوان اصلی ترین مواد محسوب می شوند به طوری که تمام وسایل و دستگاه های آزمایشگاهی معمولا برای آنالیز و تجزیه تحلیل اجزای سازنده یک ماده از مواد شیمیایی آزمایشگاهی با عناصر معلوم و مشخص به کار می روند.

گرید مواد شیمیایی آزمایشگاهی روی بسته بندی کنار نام ماده و مشخصات شیمیایی و فرمول آنها درج می شود که به گونه ای معرف درصد خلوص شان نیز می باشد.

مواد شیمیایی آزمایشگاهی از لحاظ فرمول شیمیایی و ماهیت با مواد صنعتی و خوراکی موجود در بازار یکسانند، اما مواد در گرید و خلوص آزمایشگاهی معمولا دارای درصد خلوص بالا می باشند.

درباره ما

شركت مينا تجهيز آريا با سالها تجربه و با استفاده ‏از تخصص،تعهد، تجربه و دانش هاي نوين اقدام به تهيه، توزيع مواد شیمیایی ( آزمایشگاهی ، صنعتی ) و تجهيز لوازم آزمايشگاهي، شيشه آلات و كليه ملزومات آزمايشگاهي از شركت هاي داخل و ‏خارج كشور نموده است.‏

برای پرسش و پاسخ و دریافت قیمت و موجودی با کلیک روی لینک زیر به تلگرام شرکت پیام دهید

 آدرس : تهران - میدان توحید- خیابان امیر لو(نبش کوچه خودرو) - پلاک 42- طبقه دوم - واحد5

ایمیل : minatajhiz_aria@yahoo.com

شماره ها تماس : 02166901187 - 02166900058

شماره های همراه :09362048289 - 09927282910

شماره های واتس آپ ، ایتا ، تلگرام و روبیکا : 09927282910