گلوکز و ساکارز هر دو قند ساده هستند. طعم بسیار شیرینی دارند و ترکیبات آنها به خوبی در آب حل می شود. این ترکیبات به دلیل شیرین بودن کاربردهای متفاوتی دارند.
گلوکز یک مونوساکارید است در حالی که ساکارز یک دی ساکارید است. یک مونوساکارید به صورت یک مولکول واحد وجود دارد. یک دی ساکارید از دو مولکول مونوساکارید تشکیل شده است که از طریق یک پیوند گلیکوزیدی به یکدیگر متصل شده اند.
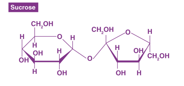
ساکارز یک دی ساکارید است که از یک گلوکز تشکیل شده است.
گلوکز یک قند ساده با فرمول شیمیایی C6H1206 است. این یک مونوساکارید است که در تشکیل دی ساکاریدها و پلی ساکاریدهای مهم مفید است.
جرم مولی گلوکز حدود 180 گرم بر مول است. به صورت پودر سفید ظاهر می شود. گلوکز به خوبی در آب حل می شود. نقطه ذوب این ترکیب بسته به ساختار شیمیایی مولکول از 146 درجه سانتیگراد تا 150 درجه سانتیگراد متغیر است.
ساختار گلوکز را می توان به شکل های مختلفی مانند طرح ریزی فیشر، طرح ریزی هاورث و ساختار صندلی ارائه کرد. اجازه دهید پیش بینی فیشر را در نظر بگیریم که مطالعه آن آسان تر است. تصویر زیر طرح فیشر این دو را نشان می دهد .اشکال گلوکز گلوکز را می توان به شکل D-گلوکز یا L-گلوکز یافت. آنها انانتیومر هستند و تصاویر آینه ای از یکدیگر هستند.
فراوان ترین شکل D-گلوکز است در حالی که L-گلوکز کمتر فراوان است. D-گلوکز همچنین دکستروز نامیده می شود که به عنوان یک عنصر در مواد غذایی موجود در بازار یافت می شود. گلوکز یک ترکیب مهم مورد استفاده در صنایع غذایی است. همچنین کاربردهای پزشکی مانند تولید داروهایی برای درمان بیماران مبتلا به هیپوگلیسمی دارد.
منابع گلوکز شامل اکثر کربوهیدرات هایی است که ما مصرف می کنیم. در اینجا، گلوکز ممکن است به صورت مونوساکارید یا به عنوان بلوک ساختمانی پلی ساکاریدها گنجانده شود. گلوکز منبع انرژی خوبی برای ورزشکاران برای به دست آوردن انرژی است.
ساکارز با فرمول شیمیایی C۱۲H۲۲O۱۱ یک ترکیب آلی دیساکاریدی است که از گلوکز و فروکتوز تشکیل است که خاصیت شیرین دارد.
ساکارز به شکل پودر سفید رنگ شیرین و بدون بو است که نقش بسیار مهمی در تغذیه انسان و تامین انرژی مورد نیاز موجودات زنده دارد.
ساکارز در نیشکر و چغندر قند یافت میشود.
از آنجا که ساکاروز یک دی ساکارید است قبل از اینکه بدن شما بتواند از آن استفاده کند باید از بین برود.
آنزیم ها در دهان شما بخشی از ساکاروز را به گلوکز و فروکتوز می شکنند و اسید در معده شما آن را کمی بیشتر می شکند. با این حال، اکثر هضم قند در روده کوچک اتفاق می افتد.
آنزیم ساکاروز که توسط پوشش روده کوچک شما ساخته شده، ساکاروز را به گلوکز و فروکتوز تقسیم می کند. سپس آنها به جریان خون شما همانطور که در بالا توضیح داده شد جذب می شوند.
حضور گلوکز باعث افزایش مقدار فروکتوزی که جذب می شود و همچنین باعث آزاد شدن انسولین می شود. این به این معنی است که در مقایسه با زمانی که این نوع شکر به تنهایی خورده می شود فروکتوز بیشتری برای تولید چربی استفاده می شود.

Glucose is a simple sugar having the chemical formula C6H1206. It is a monosaccharide that is useful in the formation of important disaccharides and polysaccharides. The molar mass of glucose is about180 g/mol. It appears as a white powder. Glucose dissolves well in water. The melting point of this compound ranges from 146°C to 150°C depending on the chemical structure of the molecule.
The structure of glucose can be given in different forms such as Fischer projection, Haworth projection, and chair conformation. Let us consider the Fischer projection which is easier to study. The following image gives the Fischer projection of the two
forms of glucose. Glucose can be found in the forms of D-glucose or L-glucose. They are enantiomers and are mirror images of each other.
Both glucose and sucrose are simple sugars. They are very sweet tasting compounds and dissolve well in water. These compounds have different uses due to their sweetness. The main difference between glucose and sucrose is that
glucose is a monosaccharide whereas sucrose is a disaccharide. A monosaccharide occurs as a single molecule. A disaccharide is composed of two monosaccharide molecules bonded to each other through a glycosidic bond. Sucrose is a disaccharide composed of one glucose lecule and one fructose molecule.
The most abundant form is D-glucose whereas L-glucose is less abundant. D-glucose is also called dextrose which is found as an ingredient in commercially available food items. Glucose is an important compound used in the food industry; it also has medical uses such as in the production of drugs to treat patients with hypoglycemia. Sources of glucose include most of the carbohydrates that we consume. Here, glucose may be included either in monosaccharide form or as a building block of polysaccharides. Glucose is a good energy source for athletes to gain energy.
ساکارز مرک
نام فارسی: ساکارز مرک
در پکیج های: 5 کیلویی*25 کیلویی*
نام ماده: Sucrose
کد محصول مرک: 107653
درصد خلوص: Ph Eur,BP,JP,NF
اسم دوم: Cane sugar, Saccharose
کین شوگر،ساکارز
فرمول: C12H22O11
C A S NUMBER: 57-50-1
مولار: 342.29 g/mol
قابلیت محلول شدن: (20 °C) soluble
درجه ذوب: 169 - 170 °C
میزان اسیدی: 7 (100 g/l, H2O, 20 °C)
{ampz:جدید}
شركت مينا تجهيز آريا با سالها تجربه و با استفاده از تخصص،تعهد، تجربه و دانش هاي نوين اقدام به تهيه، توزيع مواد شیمیایی ( آزمایشگاهی ، صنعتی ) و تجهيز لوازم آزمايشگاهي، شيشه آلات و كليه ملزومات آزمايشگاهي از شركت هاي داخل و خارج كشور نموده است.
برای پرسش و پاسخ و دریافت قیمت و موجودی با کلیک روی لینک زیر به تلگرام شرکت پیام دهید
آدرس : تهران - میدان توحید- خیابان امیر لو(نبش کوچه خودرو) - پلاک 42- طبقه دوم - واحد5
ایمیل : minatajhiz_aria@yahoo.com
شماره ها تماس : 02166901187 - 02166900058
شماره های همراه :09362048289 - 09927282910
شماره های واتس آپ ، ایتا ، تلگرام و روبیکا : 09927282910