آمونیوم آهن(II) سولفات

آمونیوم آهن(II) سولفات

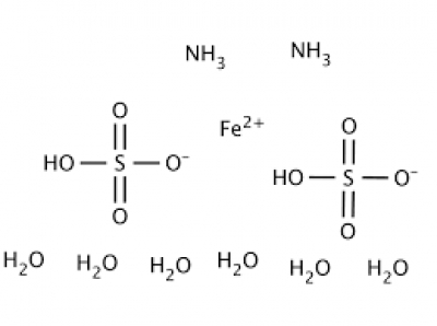
آمونیوم آهن(II) سولفات Ammonium iron(II) sulfate با فرمول شیمیایی (NH۴)۲Fe(SO۴)۲·6H۲O یک ترکیب شیمیایی است.

آمونیوم آهن(II) سولفات یا به طور مختصر آهن سولفات، یک ترکیب شیمیایی با شکل ظاهری جامد سبز-آبی است که از دو مواد اصلی یعنی آهن(II) سولفات و آمونیوم سولفات تشکیل شده است.

این ترکیب به عنوان یک منبع آهن و گوگرد برای خوراک دام و طیور استفاده می‌شود. همچنین در برخی فرایندهای شیمیایی و کشاورزی نیز کاربردهایی دارد.

خصوصیات آمونیوم آهن(II) سولفات

فرمول مولکولی :  (NH4)2Fe(SO4)2·6H2O

جرم مولی :          284.05 g mol-1 (anhydrous)

392.14 g mol-1 (hexahydrous)

شکل ظاهری :      Blue-green solid

چگالی :  1.86

دمای جوش :        not applicable

Ammonium iron(II) sulfate

Chemical compound

Ammonium iron(II) sulfate, or Mohr's salt, is the inorganic compound with the formula (NH₄)₂Fe(SO₄)₂(H₂O)₆. Containing two different cations, Fe²⁺ and NH₄⁺, it is classified as a double salt of ferrous sulfate and ammonium sulfate. Wikipedia

Formula: (NH₄)₂Fe(SO₄)₂·6H₂O

Molar mass: 392.14 g/mol

ChemSpider ID: 23246

Appearance: Blue-green solid

Boiling point: Not applicable

Solubility in water: 269 g/L (hexahydrate)

Density: 1.86 g/cm3

کاربردهای آمونیوم آهن(II) سولفات

آهن سولفات به عنوان منبع آهن برای گیاهان رویش و تغذیه یافته و می‌تواند در برخی از کودهای کشاورزی استفاده شود. این ترکیب همچنین قابل استفاده به عنوان رنگدانه در صنایع رنگریزی است.

از سوی دیگر، آمونیوم آهن(II) سولفات در فرایندهای تصفیه آب به‌عنوان یک روش مؤثر برای حذف فسفات از آب و فاضلاب مورد استفاده قرار می‌گیرد.

در مورد مخاطرات مرتبط با این ترکیب، باید به‌دقت با مواد شیمیایی کار کرد. آهن سولفات به خاطر خواص اکسیدانی و حذف کنندگی خود ممکن است به طور مستقیم یا غیرمستقیم اثرات فراری و حتی خطرات صحیح داشته باشد. بنابراین، استفاده از این ترکیب باید طبق دستورالعمل‌ها و ایمنی‌های لازم انجام شود.

 

 

آمونيوم آيرون(II) سولفات مرک كد 103792 یا آمونيوم آهن(II) سولفات مرک

نام ماده : Ammonium iron(II) sulfate hexahydrate

کد محصول مرک : 103792

فرمول شیمیایی : (NH₄)₂Fe(SO₄)₂·6H₂O

CAS Number : 7783-85-9

فروش در پکیجهای 1 کیلوگرمی

درباره ما

شركت مينا تجهيز آريا با سالها تجربه و با استفاده ‏از تخصص،تعهد، تجربه و دانش هاي نوين اقدام به تهيه، توزيع مواد شیمیایی ( آزمایشگاهی ، صنعتی ) و تجهيز لوازم آزمايشگاهي، شيشه آلات و كليه ملزومات آزمايشگاهي از شركت هاي داخل و ‏خارج كشور نموده است.‏

برای پرسش و پاسخ و دریافت قیمت و موجودی با کلیک روی لینک زیر به تلگرام شرکت پیام دهید

 آدرس : تهران - میدان توحید- خیابان امیر لو(نبش کوچه خودرو) - پلاک 42- طبقه دوم - واحد5

ایمیل : minatajhiz_aria@yahoo.com

شماره ها تماس : 02166901187 - 02166900058

شماره های همراه :09362048289 - 09927282910

شماره های واتس آپ ، ایتا ، تلگرام و روبیکا : 09927282910